Die Application Gallery bietet COMSOL Multiphysics® Tutorial- und Demo-App-Dateien, die für die Bereiche Elektromagnetik, Strukturmechanik, Akustik, Strömung, Wärmetransport und Chemie relevant sind. Sie können diese Beispiele als Ausgangspunkt für Ihre eigene Simulationsarbeit verwenden, indem Sie das Tutorial-Modell oder die Demo-App-Datei und die dazugehörigen Anleitungen herunterladen.
Suchen Sie über die Schnellsuche nach Tutorials und Apps, die für Ihr Fachgebiet relevant sind. Beachten Sie, dass viele der hier vorgestellten Beispiele auch über die Application Libraries zugänglich sind, die in die COMSOL Multiphysics® Software integriert und über das Menü File verfügbar sind.
Surface acoustic phonons and surface roughness have an important effect on the carrier mobility, especially in the thin inversion layer under the gate in MOSFETs. The Lombardi surface mobility model adds surface scattering resulting from these effects to an existing mobility model using ... Mehr lesen
This tutorial simulates the turn-on transient (forward recovery) of a simple PIN diode, based on the book "Fundamentals of Power Semiconductor Devices" by B. J. Baliga (p. 242, 2008 edition). The diode is current driven with a constant ramp rate of 1e9, 2e9 and 1e10 A/cm^2/sec and a ... Mehr lesen
This tutorial simulates the turn-off transient (reverse recovery) of a simple PIN diode with an inductive load, loosely based on the book "Fundamentals of Power Semiconductor Devices" by B. J. Baliga (p. 256, 2008 edition). Unlike the book, which assumes an initial constant current ramp ... Mehr lesen
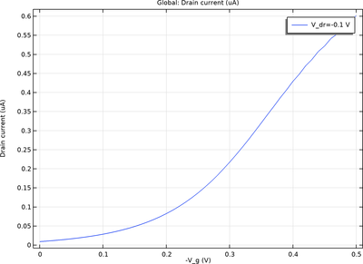
This tutorial analyzes the hysteresis of the conductance-gate-voltage (G-Vg) curves of an InAs nanowire FET, using the density-gradient theory to add the effect of quantum confinement to the conventional drift-diffusion formulation, without a large increase of computational costs. The ... Mehr lesen
In a MESFET, the gate forms a rectifying junction that controls the opening of the channel by varying the depletion width of the junction. In this model we simulate the response of a n-doped GaAs MESFET to different drain and gate voltages. For a n-doped material the electron ... Mehr lesen
In this first half of a two-part example, a 2D model of a trench-gate IGBT is built, which will be extended to 3D in the second half. In general, it is the most efficient to start with a 2D model to make sure everything works as expected, before extending it to 3D. The Caughey&ndash ... Mehr lesen
This model uses the Semiconductor and RF modules to describe a photoconductive antenna (PCA). A laser pulse is applied on the surface of undoped LT-GaAs to generate electron-hole-pairs, which move under the influence of an external E-field creating a transient electric current pulse. ... Mehr lesen
This example is an adaptation of our DC Characteristics of a MOS Transistor (MOSFET) model where the metal and dielectric domains are modeled explicitly and not via a boundary condition. Therefore, the potential profile inside the metal and the insulator can be observed. Mehr lesen
This model shows how to model the avalanche breakdown due to the impact ionization in a Silicon Carbide diode. The current-voltage (I-V) characteristics of the device are presented as well as the electric field distribution plot. Furthermore, the carrier generation term has been computed ... Mehr lesen
This tutorial model solves the Gross–Pitaevskii Equation for the ground state of a Bose–Einstein condensate in a harmonic trap, using the Schrödinger Equation interface in the Semiconductor Module. The equation is essentially a nonlinear single-particle Schrödinger Equation, with a ... Mehr lesen
