Die Application Gallery bietet COMSOL Multiphysics® Tutorial- und Demo-App-Dateien, die für die Bereiche Elektromagnetik, Strukturmechanik, Akustik, Strömung, Wärmetransport und Chemie relevant sind. Sie können diese Beispiele als Ausgangspunkt für Ihre eigene Simulationsarbeit verwenden, indem Sie das Tutorial-Modell oder die Demo-App-Datei und die dazugehörigen Anleitungen herunterladen.
Suchen Sie über die Schnellsuche nach Tutorials und Apps, die für Ihr Fachgebiet relevant sind. Beachten Sie, dass viele der hier vorgestellten Beispiele auch über die Application Libraries zugänglich sind, die in die COMSOL Multiphysics® Software integriert und über das Menü File verfügbar sind.
Diese Studie simuliert das thermische Verhalten eines Computer-Netzteils. Die meisten solcher Elektronikgehäuse enthalten Kühlvorrichtungen, um zu verhindern, dass die elektronischen Komponenten durch zu hohe Temperaturen beschädigt werden. In diesem Modell sorgen ein Ventilator und ein ... Mehr lesen
Diese App demonstriert: Geometrieteile und parametrisierte Geometrien Verwendung von Tabellen für Benutzereingabeparameter Visualisierung in einem 2D-Querschnitt einer 3D-Geometrie Verbesserte Visualisierung und Benutzererfahrung, wenn ein Geometrieobjekt (das Luftobjekt) ausgeblendet ... Mehr lesen
Microwave filters are used to eliminate unwanted frequency components in the output from microwave transmitters. They are typically inserted between a power amplifier and an antenna. The amplifiers are nonlinear and produce harmonics that must be eliminated with filters that have a ... Mehr lesen
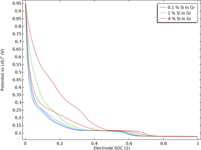
This example demonstrates the Lithium-Ion Battery, Single-Ion Conductor interface for studying the discharge of a lithium-ion battery with solid electrolyte. The geometry is in one dimension and the model is isothermal. The behavior at various discharge currents and solid electrolyte ... Mehr lesen
Dieses Modell untersucht die Wellenausbreitung in einem photonischen Kristall, der aus GaAs-Säulen besteht, die in gleichem Abstand zueinander angeordnet sind. Der Abstand zwischen den Säulen bestimmt eine Beziehung zwischen der Wellenzahl und der Frequenz des Lichts, die verhindert, ... Mehr lesen
Electrochemical supercapacitors feature relatively higher energy densities than conventional capacitors. With several advantages, such as fast charging, long charge–discharge cycles, and broad operating temperature ranges, electrochemical supercapacitors have found wide applications in ... Mehr lesen
A fuel cell unit cell is modeled using the full Butler-Volmer expression for the anodic and cathodic charge transfer reactions. The anodic and cathodic overpotentials depend on the local ionic and electronic potentials, which are obtained from the charge balance equations for ionic and ... Mehr lesen
A simple equivalent circuit model approach is presented for Nickel metal hydride batteries. The 0D model consists of resistor, capacitor, current source and state-of-charge based voltage source (SOC). An Arrhenius type dependence is used to account for self-discharge. All model ... Mehr lesen
Zweck dieser App ist es, die Anwendung der Cyclovoltammetrie zu demonstrieren und zu simulieren. Sie können die Massenkonzentration beider Spezies, die Transporteigenschaften, die kinetischen Parameter sowie das Zyklusspannungsfenster und die Scanrate variieren. Die Cyclovoltammetrie ... Mehr lesen
Lead-acid batteries are widely used as starting batteries for various traction applications such as cars and trucks and so forth. The reason for this is the fairly low cost in combination with the performance robustness for a broad range of operating conditions. However, one drawback of ... Mehr lesen
