Die Application Gallery bietet COMSOL Multiphysics® Tutorial- und Demo-App-Dateien, die für die Bereiche Elektromagnetik, Strukturmechanik, Akustik, Strömung, Wärmetransport und Chemie relevant sind. Sie können diese Beispiele als Ausgangspunkt für Ihre eigene Simulationsarbeit verwenden, indem Sie das Tutorial-Modell oder die Demo-App-Datei und die dazugehörigen Anleitungen herunterladen.
Suchen Sie über die Schnellsuche nach Tutorials und Apps, die für Ihr Fachgebiet relevant sind. Beachten Sie, dass viele der hier vorgestellten Beispiele auch über die Application Libraries zugänglich sind, die in die COMSOL Multiphysics® Software integriert und über das Menü File verfügbar sind.
This full-scale, time-dependent model of an offshore oil platform jacket involves modeling coating breakdown and estimating sacrificial anode life and the buildup of calcareous deposits on steel surfaces. The tutorial model aims to answer some of the common questions surrounding ... Mehr lesen
A bipolar membrane consists of one anion-selective, and one cation-selective membrane, in contact with each other. The combined cation and anion selectivity makes the bipolar membrane highly impermeable to all ions, with the exception of H+ and OH- which are formed by water splitting ... Mehr lesen
The purpose of this model is to visualize the electric potential in an electrochemical cell, for example a battery. This is done at OCV and during operation. In a battery, this would correspond to OCV, discharge, and recharge. The potential profile is explained both for cells with planar ... Mehr lesen
This model file was used for creating the plots featured in the blog post "How to Model Ion-Exchange Membranes and Donnan Potentials". Mehr lesen
This asset contains the model file described in the blog post titled "Approaching an Electrochemical Model from Scratch: Lemon Battery". Mehr lesen
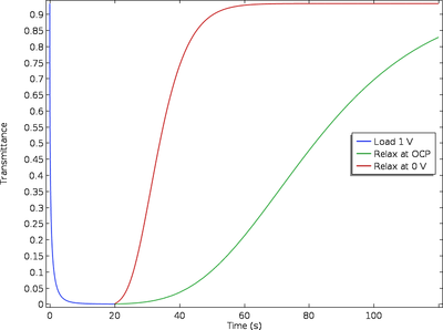
Electrochromic devices (ECDs) may be employed in ”smart” windows, for instance in buildings or motor cycle visors, where the transparency of the device can be controlled by applying a voltage. ECDs make use of the fact that the absorbance of visual light for a chemical species in a ... Mehr lesen
Pitting corrosion is localized corrosion by which local cavities, pits, are formed on a seemingly initially smooth metal surface. A pit may be initiated due to small surface defects, such as inhomogeneities in composition or shape, or from mechanical abuse. How and if the pit grows ... Mehr lesen
