Die Application Gallery bietet COMSOL Multiphysics® Tutorial- und Demo-App-Dateien, die für die Bereiche Elektromagnetik, Strukturmechanik, Akustik, Strömung, Wärmetransport und Chemie relevant sind. Sie können diese Beispiele als Ausgangspunkt für Ihre eigene Simulationsarbeit verwenden, indem Sie das Tutorial-Modell oder die Demo-App-Datei und die dazugehörigen Anleitungen herunterladen.
Suchen Sie über die Schnellsuche nach Tutorials und Apps, die für Ihr Fachgebiet relevant sind. Beachten Sie, dass viele der hier vorgestellten Beispiele auch über die Application Libraries zugänglich sind, die in die COMSOL Multiphysics® Software integriert und über das Menü File verfügbar sind.
Carbon dioxide in aqueous solution is highly corrosive and can cause significant damage to steel designs. Such conditions arise in pipes used in a variety of applications, especially within the petrochemical industry. In this tutorial example, turbulent flows consisting of carbon ... Mehr lesen
In this model, the effect of corrosion product on galvanic corrosion between a magnesium alloy (AE44) and mild steel in contact with brine solution is presented, wherein deformed boundaries due to both deposition of corrosion product as well as dissolution of magnesium are considered. ... Mehr lesen
A monopile foundation is a large-diameter structural element that can be used to support structures like offshore wind turbines. This application exemplifies how the cathodic protection of a monopile decreases over time as the sacrificial anodes dissolve. The model can be used to ... Mehr lesen
Voltammetry is modeled at a microelectrode of 10um radius. In this common analytical electrochemistry technique, the potential at a working electrode is swept up and down and the current is recorded. The current-voltage waveform ("voltammogram") gives information about the reactivity and ... Mehr lesen
Oxide jacking is the process by which reinforced concrete cracks, due to the corrosion of the reinforcing rebar rods. The corrosion process causes growth of an oxide layer on the rebar, which in turn causes internal stresses in the concrete. If the corrosion process is allowed to ... Mehr lesen
This example models cathodic protection of a steel reinforcing bar in concrete. Three different electrochemical reactions are considered on the steel surface. Charge and oxygen transport are modeled in the concrete domain, where the electrolyte conductivity and oxygen diffusivity depend ... Mehr lesen
This model exemplifies how the rate of steel corrosion in an oil platform increases over time due to build-up of a resistive film on the sacrificial anodes, formed by reaction products. The model also includes secondary current distribution electrode kinetics on the protected steel ... Mehr lesen
In this example, three parallel pipelines of length 68 km and a horizontal separation distance of 10 m between them are protected against corrosion by an impressed current cathodic protection (ICCP) system using a series of anodes. Each anode is connected to all three pipelines, ... Mehr lesen
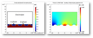
Galvanic corrosion between two different phases (alpha and beta phases) in a metallic (magnesium) alloy is simulated for a representative cross-sectional microstructure configuration. A key feature in the model formulation is the implementation of both anodic and cathodic regions at ... Mehr lesen
Steel structures immersed in seawater can be protected from corrosion through cathodic protection. This protection can be achieved by an impressed external current or by using sacrificial anodes. The use of sacrificial anodes is often preferred due to its simplicity. This example models ... Mehr lesen
