Die Application Gallery bietet COMSOL Multiphysics® Tutorial- und Demo-App-Dateien, die für die Bereiche Elektromagnetik, Strukturmechanik, Akustik, Strömung, Wärmetransport und Chemie relevant sind. Sie können diese Beispiele als Ausgangspunkt für Ihre eigene Simulationsarbeit verwenden, indem Sie das Tutorial-Modell oder die Demo-App-Datei und die dazugehörigen Anleitungen herunterladen.
Suchen Sie über die Schnellsuche nach Tutorials und Apps, die für Ihr Fachgebiet relevant sind. Beachten Sie, dass viele der hier vorgestellten Beispiele auch über die Application Libraries zugänglich sind, die in die COMSOL Multiphysics® Software integriert und über das Menü File verfügbar sind.
This model shows how to combine an electric circuit simulation with a finite element simulation. The finite element model is an inductor with a nonlinear magnetic core and 1000 turns, where the number of turns is modeled using a distributed current technique. The circuit is imported ... Mehr lesen
A thermoelectric leg is a fundamental component of a thermoelectric cooler (or heater). For example, a thermocouple is a thermoelectric module typically made of two thermoelectric legs: one made of p-type and of one n-type semiconductor material which are connected in series electrically ... Mehr lesen
Steel structures immersed in seawater can be protected from corrosion through cathodic protection. This protection can be achieved by an impressed external current or by using sacrificial anodes. The use of sacrificial anodes is often preferred due to its simplicity. This example models ... Mehr lesen
This tutorial uses a “black-box” approach to define a battery model based on a small set of lumped parameters, assuming no knowledge of the internal structure or design of the battery electrodes, or choice of materials. The input to the model is the battery capacity, the initial state ... Mehr lesen
This example focuses on the species transport within the gas diffusion layers (GDLs) of a proton exchange membrane (PEM) fuel cell. The geometry models a cell with two adjacent flow channels of different pressures, a situation that may occur in a cell with serpentine flow channels, or in ... Mehr lesen
The dielectric shielding boundary condition is meant to approximate a thin layer of material with high relative permittivity compared to its surroundings. This boundary condition is available for electrostatic field modeling. This example compares the dielectric shielding boundary ... Mehr lesen
This example applies the Electrophoretic Transport and Laminar Flow interfaces to model isoelectric separation in a free-flow electrophoresis device. A stream containing six different ionic species is shown to be divided into pure component streams by means of migrative transport in an ... Mehr lesen
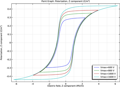
Ferroelectric materials exhibit nonlinear polarization behavior such as hysteresis and saturation at large applied electric fields. Many piezoelectric materials are ferroelectric. This model analyzes a simple actuator made of PZT piezoelectric ceramic material, which is subjected to ... Mehr lesen
During an internal short circuit of a battery, the two electrode materials are internally and electronically interconnected, giving rise to high local current densities. Internal short circuits may occur in a lithium-ion battery due to, for instance, lithium dendrite formation or a ... Mehr lesen
This example involves a static 2D axisymmetric analysis of a piezoelectric actuator using the Piezoelectric Devices physics interface. It models a radially polarized piezoelectric tube, as described by S. Peelamedu and co-authors. An application area where radially polarized tubes are ... Mehr lesen
