Die Application Gallery bietet COMSOL Multiphysics® Tutorial- und Demo-App-Dateien, die für die Bereiche Elektromagnetik, Strukturmechanik, Akustik, Strömung, Wärmetransport und Chemie relevant sind. Sie können diese Beispiele als Ausgangspunkt für Ihre eigene Simulationsarbeit verwenden, indem Sie das Tutorial-Modell oder die Demo-App-Datei und die dazugehörigen Anleitungen herunterladen.
Suchen Sie über die Schnellsuche nach Tutorials und Apps, die für Ihr Fachgebiet relevant sind. Beachten Sie, dass viele der hier vorgestellten Beispiele auch über die Application Libraries zugänglich sind, die in die COMSOL Multiphysics® Software integriert und über das Menü File verfügbar sind.
Bulk Acoustic Wave (BAW) resonators can be used as narrow band filters in radio-frequency applications. The chief advantage compared with traditional ceramic electromagnetic resonators is that BAW resonators, thanks to the acoustic wavelength being much smaller than the electromagnetic ... Mehr lesen
Gleichstrom-Glimmentladungen im Niederdruckbereich werden seit langem für Gaslaser und Leuchtstofflampen verwendet. Gleichstromentladungen sind für die Untersuchung attraktiv, weil die Lösung zeitunabhängig ist. Die 1D- und 2D-Modelle zeigen, wie Sie das Interface DC Discharge verwenden ... Mehr lesen
This tutorial demonstrates how an electrical circuit model of a MEMS resonator can be derived using the Parameter Estimation feature. The model is a modified Butterworth-Van Dyke circuit created using the Electrical Circuit interface and represents a Thin-Film Bulk Acoustic Resonator ... Mehr lesen
Streamers are transient filamentary electric discharges that can develop in a nonconducting background in the presence of an intense electric field. These discharges can attain high electron number density and consequently a high concentration of chemical active species that are relevant ... Mehr lesen
An electrostatically actuated MEMS resonator is simulated in the time and frequency domains. The device is driven by an AC + DC bias voltage applied across a parallel plate capacitor. The dependence of the resonant frequency on DC bias is assessed, and frequency domain and transient ... Mehr lesen
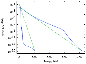
This tutorial model presents a study of a coaxial DC corona discharge in dry air at atmospheric pressure. The dimensions and operation conditions are similar to ones found in electrostatic precipitators with wire-to-plate configurations. The inner wire electrode has a 100-mm radius and ... Mehr lesen
Dieses Tutorial demonstriert eine vollständige elektro-vibroakustische Analyse eines konzeptionellen elektrostatischen Lautsprechertreibers, der aus einer dünnen leitenden Kunststoffmembran besteht, die sich zwischen zwei perforierten Metallblechen, den Gittern oder Statoren, befindet. ... Mehr lesen
Diese Modellserie demonstriert, wie Sie mit COMSOL Multiphysics® fortgeschrittene Modelle für elektrische Maschinen erstellen können - in 2D, 2,5D und in 3D, einschließlich der Endeffekte. Sie untersucht die Leistung eines Permanentmagnet-Synchronmotors, wie er häufig in modernen ... Mehr lesen
This tutorial models a DC glow discharge by solving fluid-type plasma equations fully coupled with the homogeneous and time-independent electron Boltzmann equation in the classical two-term approximation. The approximated Boltzmann equation is solved for each position of space and is ... Mehr lesen
A solidly-mounted resonator (SMR) is a piezoelectric MEMS resonator formed on top of an acoustic mirror stack deposited on a thick substrate. This tutorial shows how to simulate an SMR in 2D. In this example, the eigenmodes were computed and the frequency response from 500 to 1200 MHz ... Mehr lesen
